Câmara de Injeção, Câmara de Injeção com inserto de tungstênio, Câmara de Injeção de cerâmica, Pisto de injeção de liga de cobre, Pisto de injeção de aço, Sistema Rótula, Aparelho de injeção sob vácuo, Aparelho Pore Free.
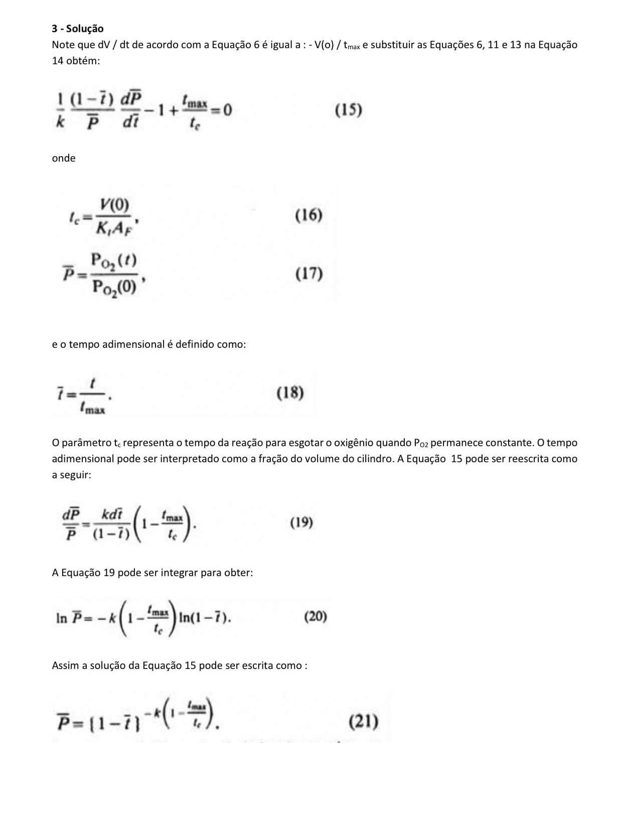
Pore Free - Pág. 6